Od czasu do czasu w DevaGroup zajmujemy się analizą polskiego rynku reklamy w Internecie, w tym rynku pozycjonowania. Tym razem padło na analizę domen 2 i 3 literowych z końcówka .pl, aby docelowo odnaleźć te dostępne do rejestracji, posiadające wartościowe linki, a przy okazji dokonać analizy najlepszych domen pod kątem ich zawartości. Padło więc pierwsze pytanie:
Ile jest domen 2 i 3 literowych z końcówką .pl?
Etap #1 Generowanie domen.
Aby rozpocząć jakąkolwiek analizę, potrzeba podstawowej rzeczy: przedmiotu, który zostanie jej poddany, musieliśmy więc przygotować listę wszystkich dostępnych do rejestracji domen. Uznaliśmy, że warto sprawdzić również domeny IDN (czyli takie, które zawierają polskie znaki), więc cała pula znaków za pomocą której wygenerowaliśmy listę prezentuje się następująco:
a ą b c ć d e ę f g h i j k l ł m n ń o ó p q r s ś t u w y z ź ż 0 1 2 3 4 5 6 7 8 9 –
Ostatni znak nie dotyczy domen 2 literowych, stanowić może jedynie drugi znak w domenach 3 literowych. Za pomocą prostego autorskiego skryptu, udało się nam wygenerować:
1849 domen 2-literowych
81356 domen 3-literowych
Mamy już listę domen, pojawiło się więc kolejne ważne pytanie:
Jakie są najmocniejsze domeny 2 i 3 literowe?
Etap #2 Analiza linków
Aby przeanalizować moc wygenerowanych domen, zdecydowaliśmy się na użycie narzędzia Majestic, ponieważ „Bulk Backlinks Checker” pozwala na uzyskanie szczegółowych wyników nawet dla 100 000 adresów URL w pojedynczej analizie.
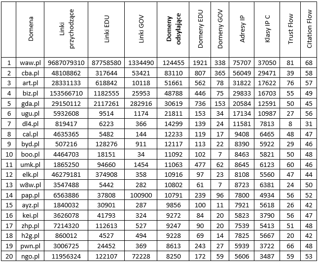
Poniżej prezentujemy 20 domen 3 literowych .pl z największą liczbą domen odsyłających:

Jak widzimy znajdują się wśród nich domeny regionalne takie jak waw.pl, gda.pl, czy elk.pl oraz domeny funkcjonalne takie jak: art.pl oraz biz.pl. Co ciekawe domena byd.pl kojarzona może być jako domena regionalna miasta Bydgoszcz, jednak jest to domena należąca do Wyższej Szkoły Gospodarki w Bydgoszczy. Skoro jesteśmy już przy edukacji warto zaznaczyć, że na 11 miejscu uplasował się Uniwersytet Mikołaja Kopernika w Toruniu.
Jako kolejną wyróżnić można grupę domen należących do hostingów: na drugim miejscu domeny odsyłające uplasowały domenę cba.pl – należącą do darmowego hostingu, oferującego utworzenie serwisu w subdomenie .cba.pl. Jest to prawdopodobnie najpopularniejszy z darmowych hostingów, co niewątpliwie przekłada się to na ilość linków prowadzących do tej domeny. Miejsce szóste zajmowane jest przez również darmowy hosting ugu.pl. Kolejne hostingi(płatne) znajdujące się na tej liście to cal.pl, boo.pl, w8w.pl, kei.pl oraz domena należąca do hostingu LinuxPL: ayz.pl.
Kolejnymi mocnymi domenami są domeny Polskiej Agencji Prasowej (pap.pl), Związku Harcerstwa Polskiego (zhp.pl), Grupy PWN (pwn.pl) oraz domena portalu NGO.pl.
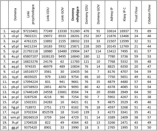
Z kolei 20 najlepszych domen dwóch literowych to:

Mocną grupę w top20 stanowią domeny należące do portali. Wśród nich znajdziemy portal Wirtualna Polska(wp.pl), portal grupy TLEN (o2.pl), oraz domeny portali, utworzonych przed redakcję gazet: Rzeczpospolita (rp.pl), SuperExpress (se.pl) oraz Puls Biznesu (pb.pl). Do tej grupy zaliczyć można jeszcze portal regionalny Warmii i Mazur (wm.pl).
Tak samo jak w przypadku domen 3-literowych, znaczącą reprezentację wśród domen 2-literowych mają domeny należące do hostingów. Znów na czele stawki domeny hostingu CBA: c0.pl oraz y0.pl, na 3 miejscu uplasowała się domena darmowego hostingu za.pl, a na 7 pozycji domena należącą do rejestratora domen i hostingu az.pl. W tej kategorii wyróżnić można jeszcze iq.pl, aq.pl, of.pl, nq.pl oraz lh.pl.
Na 13 miejscu znajdziemy domenę, najpopularniejszego niegdyś portalu społecznościowego w Polsce: Nasza Klasa – nk.pl. Ostatnie miejsce zajmuje domena komunikatora Gadu-Gadu (gg.pl), który najprawdopodobniej czasy świetności również ma już za sobą.
W top20 uplasowały się jeszcze: jedna z dwóch 2-literowych domen funkcjonalnych domeny PL, domena pc.pl oraz domena należąca do systemu statystyk WWW – stat.4u.pl.
Na koniec mam jeszcze dla Was małą niespodziankę.
Lista domen 2, 3-literowych .pl do pobrania za darmo:
Kliknij tutaj i pobierz listę domen dwuliterowych.
Kliknij tutaj i pobierz listę domen trzyliterowych.
W załączonych wyżej plikach znajdziecie wszystkie domeny wraz ze statystykami dostarczonymi przez narzędzie Majestic.






 Loading...
Loading...

![[Narzędzia] Analizy profilu linków – porównanie wyników](https://www.devagroup.pl/blog/wp-content/uploads/2021/07/link-building-2021-04-06-05-09-34-utc-150x150.jpg)














